3000 de ani de indemnizatii speciale pentru securişti şi turnători. Anatomia unui eşec instituţional de proporţii

Deşi legea prevede (Legea 341/2004) că foştii securişti şi colaboratorii fostei Securităţi nu pot beneficia de statutul de revolutionar şi beneficiile financiare aferente, statul român a plătit, cumulat, în jur de 3000 de ani de indemnizaţii unor foşti securişti şi colaboratori ai fostei Securităţi ceauşiste, după momentul în care instanţele i-au găsit pe aceştia vinovaţi de colaborare cu temutul organ represiv comunist.
Este vorba despre 318 persoane care, în baza certificatelor de revoluţionar, au încasat şi unii dintre ei continuă să încaseze de ani de zile indemnizaţii DUPĂ ce legal nu mai aveau dreptul la ele.
Dintre cei 318, 277 au fost lăsaţi cu întârzieri uriaşe fără certificatele de revolutionar iar alţi 41, dintre care 6 foşti securişti, au în continuare certificate de revoluţionar şi continuă să încaseze indemnizaţii. Instituţia care acordă şi respectiv anulează certificatele este Secretariatul de Stat pentru Recunoaşterea Meritelor Luptătorilor împotriva regimului comunist instaurat în România în perioada 1945-1989 (SSRML).
Redacţia noastră a întrebat SSRML-ul care este motivul pentru care avem încă 41 de fosti securisti si colaboratori cărora nu le-au fost anulate certificatele, deşi faptul că aceştia au fost declaraţi definitiv de instanţe securişti/colaboratori este public pe site-ul CNSAS (Consiliul Naţional pentru Studierea Arhivelor Securităţii), dar ni s-a răspuns că nu există motive pentru care interesul nostru să fie considerat legitim şi nici nu am menţionat existenţa unui interes public, deşi interesul public este evident. Credem că orice persoană îşi doreşte să ştie dacă banii din taxele sale sunt cheltuiţi (şi) pentru beneficiile financiare ale unor foşti securişti.
Ce este şocant în analiza pe care urmează să v-o prezentăm este faptul că SSRML a lăsat să treacă ani de zile de la deciziile instanţelor - în multe cazuri şi peste 10 ani - până la anularea certificatelor de revoluţionar şi sesizarea caselor de pensii pentru a opri plăţile către aceştia.
În tot acest timp, oameni care au nenorocit vieţi turnând sau eventual chiar schingiuind în calitate de foşti securişti au luat bine mersi bani suplimentari din taxele vărsate la buget de noi, cetăţenii români.
Un astfel de caz este securistul Bocănici Mircea Ioan care a continuat să ia indemnizaţie de revolutionar mai bine de 12 ani!!! de la momentul în care instanţa l-a declarat securist, constatând că a încălcat drepturile constituţionale şi drepturile fundamentale ale omului.
Poate că Bocănici şi mulţi alţi "revolutionari" securişti/colaboratori ar fi continuat să beneficieze bine mersi de certificate şi beneficiile financiare aferente dacă nu s-ar fi întâmplat ceva care a schimbat radical situaţia: în 2019, fostul ministru al Culturii Vlad Alexandrescu a semnalat public faptul că sute de securişti şi colaboratori primesc în continuare indemnizaţii, deşi legea le-o interzice, şi i-a solicitat premierului Ludovic Orban informaţii despre demersurile iniţiate de Guvern pentru oprirea acestei situaţii. În februarie 2020, Orban şi-a trimis corpul de control la SSRML.
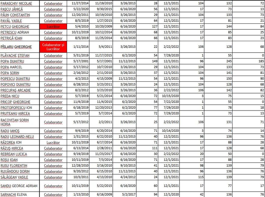
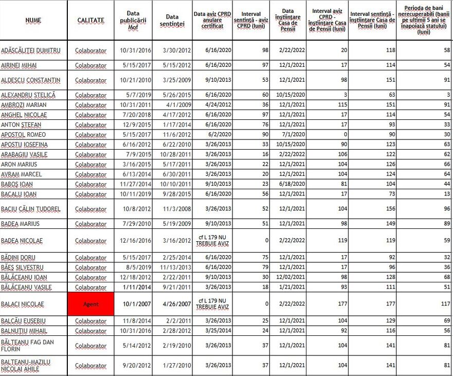
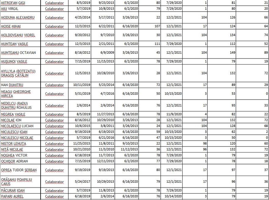
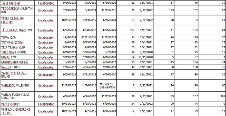
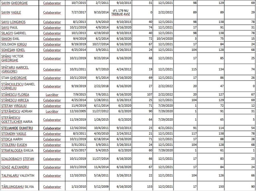
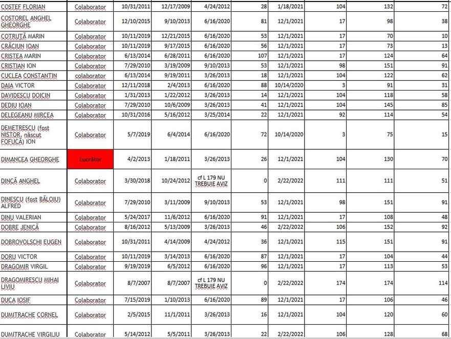
Aşa cum reiese clar din tabelul publicat la finele articolului, anularea certificatelor a început abia după ce premierul a trimis corpul de control.
Până atunci, vreme de ani de zile (tabelul nostru acoperă preponderent perioada începând cu 2009, de după intrarea în vigoare a OUG 24/2008, care reglementează activitatea CNSAS) SSRML nu a trimis nicio adresă către casele de pensii. Absolut niciuna. Vedem că adresele încep să curgă, în tranşe, începând din 2020 şi continuând până în 2022.
Trebuie precizat că legea prevede că cei cărora li s-au retras certificatele sunt obligaţi să înapoieze statului banii încasaţi pe ultimii cinci ani. În cazul unora dintre ei, au trecut însă 7, 8, 9, ba chiar 14-15 ani de la decizia instanţei şi publicarea acestora pe site-ul CNSAS până la momentul când le-a fost retras certificatul. Aceştia au înapoiat sau vor înapoia statului doar banii încasaţi pe 5 ani, restul le rămân. Sunt beneficii nemeritate, iar plata lor din bugetul public, către persoane care au sprijinit dictatura comunistă, iar astăzi au certificate de ”revoluţionar” este o insultă la adresa victimelor Revoluţiei, şi a noastră, a tuturor. Merită menţionat că banii necuveniţi se recuperează prin acţiuni în instanţă dispuse de Casele de Pensii. O acţiune durează în medie 2 ani... Vorbim de cheltuieli ale statului şi de instanţe aglomerate dintr-un motiv absolut scandalos.
Mai trebuie precizat că pe lângă bani, revoluţionarii au şi alte beneficii materiale. Conform legii 341/2004, ei au avut şi au prioritate la primirea unei case din fondul de locuinţe sociale, beneficiază de plata celei mai mici chirii prevăzute în lege. Pot cumpăra sau închiria cu prioritate, fără licitaţie, un spaţiu comercial cu o suprafaţă de până la 100 de metri pătraţi şi pot primi în proprietate 10.000 de metri pătraţi de teren în extravilan şi 500 de metri pătraţi în intravilan. Transportul în comun urban este gratuit şi tot gratuit pot face 12 călătorii dus-întors cu trenul, pe an. Revoluţionarii sunt scutiţi de la plata taxelor şi impozitelor pentru o locuinţă şi terenul aferent acesteia şi se pot pensiona cu 5 ani înainte de împlinirea vârstei.
Odată cu pierderea certificatului de revoluţionar pe motiv de colaborare cu fosta poliţie politică comunistă, aceştia trebuie să înapoieze indemnizaţiile primite, DAR DOAR PE ULTIMII CINCI ANI, precum şi terenurile. Însă, potrivit fostului secretar de stat Mihai Dodu, la nivelul Secretariatului de Stat pentru Revoluţionari nu există însă o evidenţă centralizată a tuturor terenurilor date, aşa că nu toate pot fi recuperate. Cât despre chiriile mai mici, spaţiile comerciale la preţuri preferenţiale, iarăşi, aceste beneficii rămân.
Cum NU s-au anulat certificatele ani de zile
În momentul în care există o decizie definitivă a unei instanţe care constată că deţinătorul unui certificat de revolutionar a fost securist sau colaborator al fostei Securităţi comuniste, SSRML are obligaţia de a face de îndată – şi nu după ani de zile! - o adresă către Comisia parlamentară a revoluţionarilor din Decembrie 1989 (CPRD).
În urma analizei informaţiilor primite de la SSRML, CPRD dă sau nu avizul pentru anularea certificatului. Potrivit informaţiilor noastre, în majoritatea covârşitoare a cazurilor, avizul este pozitiv, adică pentru anularea statutului de revoluţionar şi a beneficiilor aferente.
Ulterior, SSRML anulează certificatul, trimite o înştiinţare Administraţiei Prezidenţiale care publică decretul de retragere a titlului. Între adresa SSRML şi publicarea decretului trec, potrivit informaţiilor noastre, cel mult 60 de zile.
Ce remarcăm din analiza puţinelor date făcute publice de SSRML este faptul că, deşi CPRD a dat undă verde pentru retragerea unor certificate începând din 2009 (cele mai multe avize au fost date în 2013, mai exact 101 avize), până în 2020, mai exact până pe 11.09.2020 nu vedem decrete prezidenţiale de retragere a titlurilor de revolutionar acordate foştilor securişti/colaboratori. Sau, cel puţin, SSRML nu face public acest lucru.
Cum SSRML nu face publice datele la care a anulat certificatele securiştilor şi colaboratorilor, putem doar deduce, din tabelul publicat de respectiva instituţie, că până în iulie 2020 nu s-au anulat certificate, ceea ce este total şocant. Din 2020, începem să vedem curgând decrete prezidenţiale până în 2022, ceea ce înseamnă că în acest interval SSRML-ul începe să-şi facă treaba şi să notifice Preşedinţia şi casele de pensii.
În anul 2013, când CPRD a dat cele mai multe avize pentru anularea certificatelor, avize care, potrivit datelor pe care le-am avut la dispoziţie par să nu fi fost urmate de anularea respectivă şi care cert nu au fost urmate de sistarea indemnizaţiilor, secretar de stat era Victor Socaciu iar premier Victor Ponta, PSD.
Anii şi banii
În total, statul le-a plătit cumulat celor 277 de securişti si foşti colaboratori cărora certificatele de revolutionar le-au fost anulate (repetăm, după ani de zile de la deciziile instanţelor) 2540 de ani de indemnizaţii la care nu mai aveau dreptul. Anii sunt calculaţi de la pronunţarea sentinţei civile definitive pentru acţiunea deschisă de CNSAS până la data anunţării de către SSRML a caselor de pensii.
La aceştia se adaugă alţi 355 de ani de indemnizaţii plătite securiştilor şi colaboratorilor cărora nu le-au fost anulate certificatele, deşi există decizii definitive ale instanţelor. În total, aproape 3000 de ani. Mai exact, 2895,33.
Potrivit fostului secretar de stat Mihai Dodu, cel care a încercat să facă curăţenie printre falşii revolutionari, el fiind destituit după ce instituţia pe care o conducea a respins cererea premierului Marcel Ciolacu de a primi certificat de Luptător cu Rol Determinant, indemnizaţiile erau 950 şi 2020 de lei, media fiind de 1485 lei.
În consecinţă, valoarea aproximativă a celor aproape 3000 de ani de indemnizaţii care s-au plătit nejustificat celor 318 securişti/foşti colaboratori ai Securităţii se ridică la 51.594.840 lei (circa 10,3 milioane de euro), din care 45.267,255 plătiţi celor cu certificate anulate şi 6.327.585 lei (cca. 2,7 mil. euro) celor încă în plată.
Dintre aceştia, aşa cum spuneam anterior, sunt recuperabili doar 5 ani/persoană. Restul anilor constituie un prejudiciu irecuperabil. Grosso modo (pentru că, repet, nu ştim când vor fi retrase şi ultimele certificate) la data publicării acestei ştiri, în total putem vorbi de un prejudiciu total de 23.385.156 lei (4,67 mil euro) pe care, cel mai probabil, nu îl va deconta nimeni niciodată. De fapt, l-am decontat noi, românii, din buzunar.
Cronologia
-
În decembrie 2019, senatorul USR Vlad Alexandrescu a publicat o listă de colaboratori dovediţi ai Securităţii despre care suspecta că primeau în continuare indemnizaţii de revoluţionari, deşi legea o interzice.
-
În martie 2020, Vlad Alexandrescu a cerut prin interpelare parlamentară către premier - Ludovic Orban la vremea respectivă - informaţii despre demersurile iniţiate de Guvern în scopul retragerii certificatelor de revoluţionari colaboratorilor şi ofiţerilor de Securitate şi oprirea beneficiilor aduse de acestea.
-
În septembrie 2020, Vlad Alexandrescu a trimis o altă interpelare premierului, prin care a cerut o anchetă care să clarifice de ce Secretariatul de Stat continuă să protejeze colaboratorii fostei Securităţi, să stabilească vinovaţii şi să ia măsurile de sancţionare care se impun.
-
În urma acestei interpelări, Ludovic Orban şi-a trimis corpul de control, care a constatat, printre multe alte nereguli (informaţii aici) iniţierea, în multe cazuri, cu întârzieri semnificative, a demersurilor privind anularea certificatelor şi retragerea titlului pentru persoanele dovedite ca fiind lucrători sau colaboratori ai Securităţii.
-
Pe 02.06.2020 - deci după demersurile senatorului USR - încep să se anuleze, timid, primele certificate, apoi urmează un calup masiv de anulari pe 16.06.2020 când, practic, se anulează aproape toate certificatele, cu excepţia a 42 de persoane care primesc indemnizaţii şi astăzi.
-
Tot din 2020, mai exact începând cu luna iunie 2020, SSRML începe să trimită adrese către Casele de Pensii şi Prefecturi pentru suspendarea indemnizaţiilor. Atenţie, nu a trimis însă adrese pentru toţi cei lăsaţi fără certificate, adresele au început să curgă din 2020 iar procesul a continuat până în 2022 când s-a oprit. Marile tranşe de adrese s-au trimis pe 12.01.2021 şi 22.02.2022.
Ce merită remarcat este lipsa totală de transparenţă a SSRML care:
-
În tabelele publicate pe site-ul SSRML face cunoscută doar data avizului CPRD, nu şi data efectivă a retragerii certificatului.
-
A refuzat să ne comunice informaţii concrete despre demersurile întreprinse (sau nu) de instituţie pentru anularea certificatelor celor 42 foşti securişti/colaboratori aflaţi încă în plată.
Pagina 2 răspuns SSRML
Cui a dat statul indemnizaţie de revolutionar?
Apostu Iosefina, fostă colaboratoare a securitatii, a continuat să aibă titlu de revolutionar şi să încaseze indemnizaţie 10 ani şi 4 luni de la sentinţa civilă CNSAS. Potrivit investigatorilor CNSAS, Apostu Iosefina şi-a turnat cunoscuţi la Securitate, ea spunând despre o persoană că trăieşte în concubinaj, despre alta că e fluşturatică, despre altcineva că fuge de sarcinile de răspundere date de partid. Or, în acele vremuri, partidul comunist impusese un anumit model de om şi orice abatere de la standardele partidului aducea probleme.
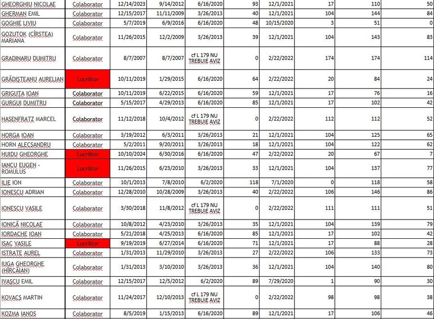
Iancu Eugen Romulus, de profesie securist, a continuat să aibă titlu de revoluţionar şi să încaseze indemnizaţie 11 ani de la sentinţa civilă CNSAS. Potrivit investigatorilor CNSAS, printre altele, respectivul securist a dat pe mâna colegilor un român care, în colaborare cu un iugoslav, a adresat o scrisoare unui post de radio străin (putem presupune că Europa Liberă ori Vocea Americii). Reamintim că pentru o scrisoare la Europa Liberă, inginerul Gheorghe Ursu a fost omorât în bătăi de Securitatea comunistă.
Păun Constantin, colaborator, a luat şi el tot 11 ani indemnizaţie după sentinţa civilă CNSAS. El îşi turna colegii şi cunoscuţii pentru relaţii cu cetăţeni străini şi/sau români stabiliţi în străinătate, activităţi considerate ca fiind împotriva regimului comunist.
Concluzie
Datorăm libertatea de a spune ce gândim celor care, în decembrie 1989, şi-au învins frica şi au înfruntat gloanţele şi tancurile pentru răsturnarea dictatorului Ceauşescu şi ieşirea din comunism. Indemnizaţiile pentru cei care şi-au riscat viaţa nu pot recompensa sub nicio formă curajul şi sacrificiul lor. Oricum, adevăraţii revoluţionari nu au ieşit pentru bani şi privilegii, ci pentru libertatea pe care ne-o doream atât de mult cu toţii, chiar dacă mulţi dintre noi, cei născuţi în comunism, nici măcar nu ştiam cum arată. Ne născuserăm în cuşcă, crescusem învăţând că trebuie să te prefaci, să minţi, să nu spui ce gândeşti, căci rişti să înfunzi puşcăria, că trebuie să îţi aplauzi torţionarul, omul care te ţine în frică, foame şi frig. Nu ştiam ce e dincolo de gratii dar clar trebuia să fie ceva mult mai bun decât minciuna pe care o trăiam noi.
Este însă o insultă, la adresa noastră şi a tuturor, să plătim pensii celor care au făcut pactul cu Răul, celor care au lucrat sau au colaborat cu el. Este o jignire nu doar la adresa noastră, ci, în mai ales la adresa celor ce s-au jertfit. Nu pot fi puşi pe acelaşi talger cu cei care au ţinut partea întunericului.
Cu toate acestea, ani de zile foşti securişti şi foşti colaboratori au încasat indemnizaţii din banii noştri, deşi nu aveau dreptul nici legal şi cu atât mai puţin moral să îi primească. Asta deşi existau instituţii ale statului român create tocmai pentru a veghea la respectarea legii şi la eliminarea imposturii care generează beneficii nemeritate pentru falşii revoluţionari.
Şi teamă îmi este că şi acest lucru se va scufunda în uitare, căci la noi nimeni nu răspunde pentru prejudiciile create. A fost nevoie de descinderea unui corp de control pentru ca lucrurile să se mişte, să se întâmple ceva. Atitudinea la SSRML însă pare că nu s-a schimbat, drept dovadă răspunsul pe care l-am primit la întrebările noastre legate de securiştii/colaboratorii cu beneficii încă în plată. Deşi nu întrebasem pentru noi, ci pentru cei ce plătesc indemnizaţii unor impostori şi care au dreptul să ştie.
Va răspunde cineva penal pentru banii care nu se vor recupera? Sau, aşa cum se întâmplă la noi, vorbim, comentăm o zi, punem coroane şi dăm onorul militar, apoi trecem la următorul şi dăm totul uitării? Revoluţia română, sacrificiul celor ce au luptat nu intră sau, cel puţin, nu ar trebui să intre la capitolul scandal.
Mai trebuie reamintit că SSRML, instituţia care ar fi trebuit să vegheze la respectarea drepturilor adevăraţilor revoluţionari, a fost de-a lungul anilor în centrul mai multor scandaluri. Cele mai răsunătoare sunt cele legate de foştii preşedinţi Emilian Cutean şi Adrian Sanda, ambii PSD.
Fost strungar şi cascador, Cutean a fost considerat un apropiat al preşedintelui Ion Iliescu. În aprilie 2006, a fost trimis în judecată într-un dosar de abuz în serviciu, efectuare de operaţiuni financiare incompatibile cu funcţia şi prejudicierea bugetului de stat. El a fost acuzat că în perioada în care a condus Secretariatul de Stat pentru Problemele Revoluţionarilor a virat nelegal sume importante către asociaţia de revoluţionari pe care o conducea, suma considerată prejudiciu fiind de peste 200.000 lei. În iunie 2009, Judecătoria Sectorului 1 l-a condamnat la 5 ani de închisoare cu executare, decizie care a rămas definitivă în februarie 2012, după respingerea recursului la Curtea de Apel Bucureşti (CAB).
După condamnarea definitivă, Cutean a dat statul român în judecată la CEDO, reclamând încălcarea dreptului la un proces echitabil. Curtea Europeană a Drepturilor Omului a stabilit că i-a fost încălcat acest drept deoarece completul de judecată s-a schimbat în timpul procesului, iar noul judecător nu l-a audiat pe Cutean şi pe martori înainte de a pronunţa hotărârea, iar instanţele de apel şi recurs nu au remediat această lacună procedurală. În urma deciziei CEDO, procesul a fost rejudecat. Iniţial, Cutean a obţinut achitarea, însă, ulterior, după apel, CAB a decis menţinerea condamnării.
În prezent, Cutean este secretarul general al Institutului Revoluţiei Române, acel institut înfiinţat, culmea cinismului, de Ion Iliescu, cel care a furat Revoluţia urcându-se pe cadavrele eroilor lui Decembrie 1989 pentru a ajunge la putere.
Adrian Sanda, tot PSD, a fost deferit justiţiei în 2017 sub acuzaţiile de abuz în serviciu cu consecinţe deosebit de grave. El a fost acuzat că a vândut certificate de revoluţionar false. Ar fi încasat între 1500 şi 3 mii de euro mită pentru fiecare certificat. Deseori, banii negri ar fi fost primiţi chiar pe holurile Parlamentului, susţineau anchetatorii, potrivit Digi24.ro.
Pentru a avea cât mai mulţi clienţi, gruparea ar fi reuşit, prin decizii ale unei comisii de resort, să transforme oraşe precum Deva, Buzău, Brăila, Târgovişte şi Herculane în oraşe cu rol determinant la Revoluţie, deşi acestea nu îndeplineau criteriile necesare. Urmarea a fost că cel puţin 3.500 de oameni ar fi primit ilegal 2.000 de lei lunar, cred procurorii.
Sanda a fost achitat însă în procesul de la Curtea de Apel Bucureşti pe motiv că faptele comise nu sunt prevăzute de legea penală. Cum s-a ajuns la aşa o soluţie? Simplu, graţie uriaşului cadou făcut de CCR multor demnitari şi funcţionari acuzaţi de corupţie la vremea respectivă. Mai exact, în 2016, CCR a emis controversata decizie nr. 405, privind abuzul de serviciu, potrivit căreia abuzul în serviciu există doar dacă este o încălcare a unei legislaţii primare (legi şi OUG-uri). Or, respectivele oraşe, deşi erau prevăzute la articolul 3 din legea 341-2004, au fost introduse prin decizii. Decizii care au făcut obiectul hotărârii de guvern 99/2015. Deci, practic, Sanda n-a încălcat legislaţia primară, aşa că a scăpat.
Ani mai târziu, în 2023, secretarul de stat Mihai Dodu a deschis o serie de acţiuni în instanţă pentru anularea statutului de oraş cu rol determinant la Revoluţie acordat acelor localităţi care nu întruneau criteriile necesare pentru acest statut. Dodu nu a avut însă viaţă lungă la SSRML, el fiind destituit de Ciolacu, nemulţumit că nu i-a fost aprobată cererea pentru obţinerea unui certificat de luptător cu rol determinant.
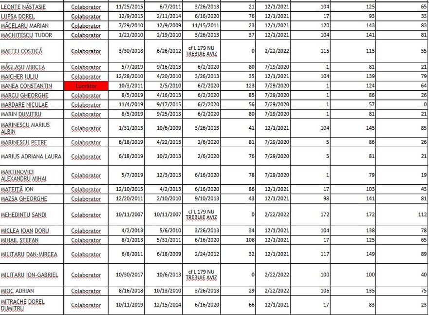
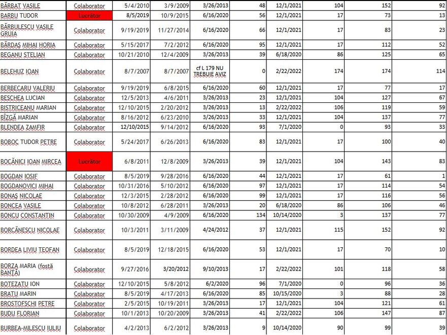
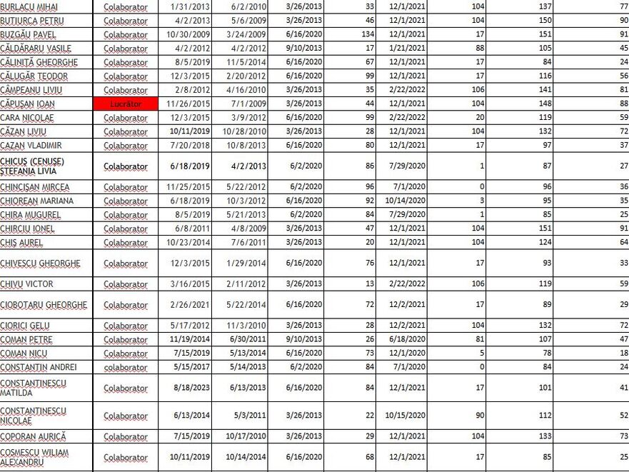
Tabel certificate anulate
Pagina 1
Pag. 2
Pag. 3
Pag. 4
Pag. 5
Pag. 6
Pag. 7
Pag. 8
Pag. 9
Pag. 10
Pag. 11
Pag. 12
Tabel certificate neanulate
Tabelul integral, în format Excel, poate fi accesat aici.